doi: 10.56294/ere202356
REVIEW
Towards a Comprehensive Assessment of Water Quality in Colombia: Challenges and Proposals in the Face of Emerging Contaminants
Hacia una Evaluación Integral de la Calidad del Agua en Colombia: Desafíos y Propuestas Frente a los Contaminantes Emergentes
José Luis Guataquira Rincón1, René Ricardo Cuéllar Rodríguez1, Laura Daniela Palomino Boshell1 *
1Corporación Universitaria Del Meta, Facultad de Ingeniería Ambiental. Villavicencio – Meta, Colombia.
Cite as: Guataquira Rincón JL, Cuéllar Rodríguez RR. Towards a Comprehensive Assessment of Water Quality in Colombia: Challenges and Proposals in the Face of Emerging Contaminants. Environmental Research and Ecotoxicity. 2023; 2:56. https://doi.org/10.56294/ere202356
Submitted: 10-09-2022 Revised: 28-01-2023 Accepted: 12-05-2023 Published: 13-05-2023
Editor: Prof.
Dr. William Castillo-González ![]()
ABSTRACT
Introduction: water quality has been recognized as a crucial factor for public health and environmental balance. In Colombia, current regulations have established physical, chemical and microbiological parameters for its evaluation, as defined by Resolution 2115 of 2007. However, the change in environmental, urban and industrial dynamics has generated the need for more updated methods capable of accurately reflecting the real condition of the water resource.
Development: water Quality Indices (WQI), such as the WQFI, WQINSF, DWQI, among others, have served as useful tools for the interpretation and communication of water quality. These indices were constructed from traditional parameters such as dissolved oxygen, coliforms, turbidity and pH. However, their narrow focus has left out compounds currently detectable thanks to the advancement of analytical science: emerging contaminants (ECs). These include pharmaceuticals, pesticides, hormones and viruses, whose presence has not only become more frequent, but also more dangerous to human health and aquatic biodiversity.
Conclusions: given the growing risk posed by ECs, the need to integrate these compounds into monitoring schemes was raised. Methods such as the AMOEBA index or the ICAUCA adapted for the Cauca river offer more contextualized solutions. Thus, it became evident that water quality assessment requires a dynamic and inclusive approach that articulates traditional variables with new threats, also taking into account regional, social and regulatory aspects to ensure access to safe water.
Keywords: Water Quality; Emerging Contaminants; EQI Indices; Environmental Assessment; Public Health.
RESUMEN
Introducción: la calidad del agua ha sido reconocida como un factor crucial para la salud pública y el equilibrio ambiental. En Colombia, la normatividad vigente ha establecido parámetros físicos, químicos y microbiológicos para su evaluación, como lo define la Resolución 2115 de 2007. Sin embargo, el cambio en las dinámicas ambientales, urbanas e industriales ha generado la necesidad de métodos más actualizados, capaces de reflejar de forma precisa la condición real del recurso hídrico.
Desarrollo: los Índices de Calidad del Agua (ICA), como el IRCA, WQINSF, DWQI, entre otros, han servido como herramientas útiles para la interpretación y comunicación de la calidad del agua. Estos índices se construyeron a partir de parámetros tradicionales como oxígeno disuelto, coliformes, turbidez y pH. No obstante, su enfoque limitado ha dejado por fuera compuestos actualmente detectables gracias al avance de la ciencia analítica: los contaminantes emergentes (CE). Estos incluyen productos farmacéuticos, pesticidas, hormonas y virus, cuya presencia no solo se ha vuelto más frecuente, sino también más peligrosa para la salud humana y la biodiversidad acuática.
Conclusiones: dado el creciente riesgo que representan los CE, se planteó la necesidad de integrar estos compuestos en los esquemas de monitoreo. Métodos como el índice AMOEBA o el ICAUCA adaptado para el río Cauca, ofrecen soluciones más contextualizadas. Así, se evidenció que la evaluación de la calidad del agua requiere un enfoque dinámico e inclusivo, que articule variables tradicionales con nuevas amenazas, teniendo en cuenta también aspectos regionales, sociales y normativos para garantizar el acceso a agua segura.
Palabras clave: Calidad del Agua; Contaminantes Emergentes; Índices ICA; Evaluación Ambiental; Salud Pública.
INTRODUCTION
Water quality is an essential component for ensuring public health and environmental sustainability.(1,2,3,4,5,6) In Colombia, the control of this vital resource is regulated by Resolution 2115 of 2007, which establishes the physical, chemical, and microbiological parameters that must be evaluated to ensure its suitability for human consumption.(7,8,9) However, urban growth, industrial development, agricultural expansion, and environmental dynamics have introduced new challenges in water quality management, highlighting the need for more comprehensive and up-to-date assessment methods.(10,11,12,13)
In this context, Water Quality Indices (WQI) have been a key tool for simplifying the assessment of multiple variables into a single numerical value that facilitates decision-making, communication with the community, and the design of public policies.(14,15,16) These indices integrate parameters such as dissolved oxygen, turbidity, pH, and fecal coliforms, among others, allowing the classification of the state of water resources and the establishment of corrective actions when necessary.(17,18,19,20) Some of the most relevant indices at the national and international level include the IRCA (Water Quality Risk Index), the WQI (Water Quality Index) of the National Sanitation Foundation, the DWQI (Drinking Water Quality Index) developed by the UN, and local adaptations such as the ICAUCA for the Cauca River.(21,22,23)
Despite their usefulness, these indices have limitations.(24,25,26) Many of them are based on conventional parameters that do not consider the presence of emerging contaminants (ECs)(27,28,29) and chemical and microbiological compounds whose recent detection has revealed potential risks to human health and the ecosystem but which are not yet regulated.(30,31,32) These contaminants include pharmaceuticals, personal care products, pesticides, and hormones, which can enter the water cycle through domestic, agricultural, industrial, and hospital discharges.(33,34,35,36)
Including ECs in monitoring and assessment schemes represents a methodological and regulatory challenge(37,38) and an urgent need to ensure comprehensive water resource management.(39) In this regard, this paper proposes a review of the most widely used water quality indices and an analysis of the possibility of integrating new variables that more accurately reflect the reality of water sources. The aim is to contribute to the strengthening of control mechanisms, the protection of human health, and the sustainability of water resources in rural and urban areas of the country.
DEVELOPMENT
THEORETICAL FRAMEWORK
In Colombia, systems for protecting and controlling water quality for human consumption are established in accordance with Resolution 2115 of 2007, which sets acceptable limits for physical, chemical, and microbiological characteristics that may pose a risk to human health and infrastructure.
Physical parameters
These are the least relevant parameters in terms of water quality, but they can alter water's appearance. Changes in the appearance, odor, and taste of water for human consumption may indicate changes in raw (untreated) water quality from the source or deficiencies in treatment operations. The most important physical parameters are turbidity, apparent color, conductivity, and pH.(40)
Chemical parameters
These are the most critical parameters, as they can adversely affect health after prolonged exposure, and few can cause health problems due to a single exposure. Agricultural activity causes pollution when fertilizers are washed into water, especially nitrates and nitrites. In addition, the improper use of agrochemicals contributes to water contamination with substances that are toxic to humans. Domestic activities can contribute mainly in the form of detergents, fats and oils, solvents, disinfectants, and organic matter. Industrial activities can contribute organic and inorganic substances, solvents, detergents, and heavy metals that are toxic to humans, such as arsenic, lead, mercury, and chromium.(40)
Microbiological parameters
The most significant microbial risks arise from consuming water contaminated with human or animal excrement. Excrement can be a source of pathogens such as bacteria, viruses, protozoa, helminths, and other organisms. Fecal pathogens are of most concern when setting health protection goals for microbial safety. Marked and sudden variations in the microbiological quality of water occur frequently. Sudden increases in pathogen concentrations can occur, which can significantly increase the risk of disease and trigger outbreaks of waterborne diseases; in addition, many people may be exposed to the disease before microbial contamination is detected.(40)
Viruses are responsible for approximately 70 % of ADI, mainly Rotavirus, Norovirus, Adenovirus (serotypes 40 and 41), Astrovirus, and Enterovirus. Bacteria are responsible for between 10 % and 20 %, including Campylobacter jejuni, Salmonella (animal/non-typhoid), Shigella, Yersinia enterocolitica, Escherichia coli (enteropathogenic and enterotoxigenic), Yersinia pseudotuberculosis, Clostridium difficile, Salmonella typhi and Salmonella paratyphi, Vibrio cholerae, and parasites, specifically protozoa, account for less than 10 %, with Giardia lamblia, Cryptosporidium, Entamoeba histolytica, Dientamoeba fragilis, Blastocystis hominis, and Helminths Strongyloides stercorali.(41)
In Colombia, the microorganism most frequently identified in children under 5 years of age with ADE is rotavirus.(31,36,39) The most commonly implicated bacteria are Escherichia coli (mainly enteropathogenic and enterotoxigenic) and Salmonella (around 10 %); Campylobacter and Shigella are isolated less regularly (less than 6 %), and no pathogenic microorganism is identified in up to 45 % of children in whom the etiology of ADE is sought.(41)
Water Quality Indices
Water quality indices (WQI) are mathematical expressions relating a series of parameters that allow the quality of a water resource to be assessed according to its purpose. They provide information in a number, range, verbal description, and/or symbol or color.(42)
The indices are classified according to the type of information they analyze (table 1) and the uses of the water resource (table 2).
|
Table 1. Classification of quality indices according to analysis information(42) |
||
|
Group |
Indicators |
Type of information analyzed |
|
1 |
At the source |
Water quality generated by pressures (contaminants) in discrete sources |
|
Different point from the source |
Water quality generated by diffuse sources |
|
|
2 |
Simple measurements |
Comprises several individual water parameters that can be used as indicators of water quality |
|
Based on criteria or standards |
Correlation of water quality with standard levels that have been established for the preservation of aquifers and water resource uses. |
|
|
Multi-parameter |
Determined by the collective opinion of experts |
|
|
Empirical multi-parameters |
Constructed from statistical analysis of water quality measurements |
|
|
3 |
For lentic bodies |
Developed for this type of aquifer |
|
4 |
Aquatic life |
Analyzes the tolerance reactions of aquatic biota to pollutants and water body conditions |
|
Water use |
Evaluates water for human consumption or agricultural use |
|
|
Based on perception |
Includes public opinion and the uses to which the water resource will be put |
|
|
Table 2. Classification of quality indices according to water resource use(42) |
|
|
Water use |
Type of information analyzed |
|
Resource management |
Provide information for decision-making on priorities established for water resources |
|
Classification of areas |
Compare the status of resources in different geographical areas |
|
Compliance with regulations |
Determine whether water bodies are exceeding pollution limits according to environmental regulations or public policies in force |
|
Trends |
Assess whether environmental quality is improving or declining over time |
|
Public information |
Raise awareness and educate the population about water resource management |
|
Scientific research |
Analyze a set of data that may be related to water resource quality, reduce the parameters to those that affect it, and provide information on the current status |
The calculation of the ICA is based on three consecutive steps: first, the selection of parameters; second, the determination of the subindex for each parameter; and third, the determination of the index by aggregating the subindices, table 3.
|
Table 3. The calculation of the ICA |
||||
|
Step |
Observation |
Source |
Parameter |
Objective |
|
First Parameter selection |
It depends on expert judgment, available information, time constraints, location, and importance as a quality standard. |
Walski (1974) |
OD, temperature, coliforms, pH, SS, color, odor, turbidity, transparency, nitrates, phosphates, fats |
Organoleptic characteristics, effect on aquatic life and human health |
|
Dunnette (1979) |
OD, DBO, DQO |
Oxygen level |
||
|
NO2-N, NO3, -N, orthophosphates |
Eutrophication |
|||
|
Total and fecal coliforms |
Health aspects |
|||
|
Temperature, transparency, total solids |
Physical characteristics |
|||
|
Dinius (1987) |
Temperature, OD, COD, total alkalinity, color, total hardness, pH, conductivity, chlorides, and nitrates |
Selection and formation of a panel of experts who select the variables according to their individual criteria and finally select those of greatest importance |
||
|
Second Determination of the subindex for each parameter |
Transformation of variables from a dimensional scale to a dimensionless scale to enable aggregation |
Fernández y Solano (2005) |
Face value |
Comparison of the parameter value with a standard |
|
Parameter in decimal number, diagrams, or calibration tables |
For each parameter, a graph is made showing the correlation between the parameter and its value on a quality scale (value between 0 and 100, or between 0 and 1) |
|||
|
Del RÌo (1986) |
Own experience methods |
Curves developed by the same author for different parameters |
||
|
Delphi method |
Construction based on the average opinion of several experts |
|||
|
Curves based on mathematical equations |
The quality curve is drawn for each parameter and the mathematical function that correlates the variables is estimated |
|||
|
Curves based on regulations |
Objectivity and acceptance when considering the values of parameters from different regulations |
|||
|
Third Determination of the index by aggregation of the sub-indices |
The integration of the sub-indices determines the ICA, which can be expressed using mathematical aggregation expressions. |
Van Helmond y Breukel, (1997) |
Weighted average |
ICA=1/n ∑(i=1)nQi |
|
Weighted arithmetic mean |
ICA=∑(i=1)nQi×Wi |
|||
|
Unweighted geometric mean |
ICA=(∏(i=1)nQi)(1/n) |
|||
|
Weighted geometric mean |
ICA=(∏i=1nQi)Wi |
|||
|
Minimum subscript |
ICA=min(q1,q2,…qn ) |
|||
|
Maximum subscript |
ICA=max(q1,q2,…qn ) |
|||
|
Modified unweighted mean |
ICA=1/100×(1/n ∑i=1nQi)2 |
|||
|
Modified weighted mean |
ICA=1/100×(1/n ∑i=1nQi×Wi)2 |
|||
Water Quality Risk Index (IRCA)
To calculate the IRCA in accordance with Article 12 of Decree 2115 of 2007, the risk score set out in table 5 will be assigned to each physical, chemical, and microbiological characteristic that does not comply with the maximum permitted values.
|
Table 4. Maximum acceptable values and IRCA score(43) |
|||
|
Characteristics |
Expressed as |
Maximum value |
IRCA score |
|
Appearance color |
UPC |
15 |
6 |
|
Turbidity |
UNT |
2 |
15 |
|
pH |
H3O+ |
6,5 - 9 |
1,5 |
|
Free residual color |
mg Cl2 / L |
0,3 – 2 |
15 |
|
Total alkalinity |
mg CaCO3 / L |
200 |
1 |
|
Calcium |
mg Ca / L |
60 |
1 |
|
Phosphates |
mg PO43- / L |
0,5 |
1 |
|
Manganese |
mg Mn / L |
0,1 |
1 |
|
Molybdenum |
mg Mo / L |
0,07 |
1 |
|
Magnesium |
mg Mg / L |
36 |
1 |
|
Zinc |
mg Zn / L |
3 |
1 |
|
Total hardness |
mg CaCO3 / L |
300 |
1 |
|
Sulfates |
mg SO42- / L |
250 |
1 |
|
Total iron |
mg Fe / L |
0,3 |
1,5 |
|
Chlorides |
mg Cl- / L |
250 |
1 |
|
Nitrates |
mg NO3- / L |
10 |
1 |
|
Nitrites |
mg NO2- / L |
0,1 |
3 |
|
Aluminum |
mg Al3+ / L |
0,2 |
3 |
|
Fluorides |
mg F- / L |
1 |
1 |
|
TOC |
mg COT- / L |
5 |
3 |
|
Total coliforms |
UFC/100 cm3 |
0 |
15 |
|
Escherichia coli |
UFC/100 cm3 |
0 |
25 |
The IRCA value is zero (0) points when it complies with the acceptable values for each of the physical, chemical, and microbiological characteristics covered in this Resolution and one hundred points (100) for the highest risk when it does not comply with any of them. For the calculation of the Human Water Quality Risk Index (IRCA), equation 1.(43)
Equation 1: expression for calculating the water quality risk index (IRCA) per sample.(43)
![]()
Taking into account the results of the IRCA per sample and the monthly IRCA, the following classification of the risk level of water supplied for human consumption by the service provider is defined, and the actions to be taken by the competent health authority are indicated in table 5.
|
Table 5. Classification of health risk level according to the IRCA by sample and monthly IRCA and actions to be taken(43) |
|||
|
IRCA classification (%) |
Risk Level |
IRCA per sample (Notifications to be issued immediately by the health authority) |
Monthly IRCA (Shares) |
|
80,1 -100 |
Unfeasible Health Mind |
Inform the service provider, COVE, Mayor, Governor, SSPD, MPS, INS, MAVDT, Comptroller General, and Attorney General. |
Water not suitable for human consumption, managed directly by the service provider, mayors, governors, and national authorities, according to their jurisdiction. |
|
35,1 - 80 |
High |
Inform the service provider, COVE, Mayor, Governor, and SSPD. |
Water not suitable for human consumption, managed directly by the service provider and the respective mayors and governors according to their jurisdiction. |
|
14,1 – 35 |
Medium |
Inform the service provider, COVE, Mayor, and Governor. |
Water not suitable for human consumption, managed directly by the service provider. |
|
5,1 - 14 |
Low |
Inform the service provider and the COVE. |
Water not suitable for human consumption, subject to improvement. |
|
0 - 5 |
No Risk |
Continue monitoring and surveillance. |
Water suitable for human consumption. Continue monitoring. |
Water Quality Index of the National Sanitation Foundation (WQINSF)
In 1970, the US Environmental Protection Agency proposed a quality index that considers three uses: direct human contact, indirect contact, and remote contact with water. It is based on the Horton index structure and the Delphi method to define the parameters, weighted scores, Ii sub-indices, and their classification to be used in the calculation (expert panel). In addition, the index was developed to characterize water quality in general so that physical, chemical, or biological processes that indicate high water degradation can be masked by others that do not suggest any (or minimal) contamination.(44)
This index works based on a relative value function, where the measured value is related to the permitted value for a specific use. It also establishes a relationship between measurements taken at different times. The indicator analyzes nine water quality parameters: dissolved oxygen, fecal coliforms, pH, biochemical oxygen demand (BOD5), temperature change (from 1 mile upstream), total phosphate, nitrate, turbidity, and total solids.(44)
The water quality level is then plotted on a scale ranging from 0 (worst) to 100 (best) based on the raw data for each set of measurements. The values of each curve are averaged to obtain a weighting curve for each parameter. Finally, the results of the nine parameters are compared with the curves to get a numerical value or Q value.(44)
|
|
|
|
|
|
|
|
|
|
|
|
|
|
|
Figure 1. NSF quality function graphs to obtain the Q values of the WQINSF indicator analysis parameters(43)
Finally, each Q value is multiplied by the NSF weighting factor according to equation 2.
Equation 2: expression for calculating the WQINSF index and weighting values.(44)

After determining the quality index for the sampling point, it should be compared with the water quality classification ranges in table 6.
|
Table 6. Water quality classification based on the WQINSF index(44) |
||
|
Index Value |
Classification |
Legend |
|
0-25 |
Very poor |
|
|
26-50 |
Poor |
|
|
51-70 |
Average |
|
|
71-90 |
Good |
|
|
91-100 |
Excellent |
|
Dinius
Developed in the United States by Dinius, the first in 1972 and the second in 1987, it consists of 12 physical, chemical, and microbiological parameters. It is also based on the Delphi method. It evaluates the overall quality of water, considering its suitability for six water uses: human consumption (public water and supply), agriculture, fishing and aquatic life, industrial, and recreation.(45)
If, like the ICA-NSF, it uses the weighted product, commonly known as the multiplicative equation, for its calculation. The concentrations of each parameter are transformed into numerical values without units by applying the corresponding subscript functions.(45)
The normalized subscript values are then assigned weightings for each parameter, which are combined in a multiplicative aggregation, from which the overall index is derived. The final Dinius index is a single numerical value between 0 and 100. However, this value does not correspond to a specific quality class but to a different one for each water-use considered, equation 2.(45)
Equation 3: expression for calculating the Dinius index and weighting values.(45)

The value obtained allows the resource to be classified using a 5-point water quality classification scale.
|
Table 7. Water quality classification based on the WQIDINIUS index(45) |
||
|
Index Value |
Classification |
Legend |
|
0-40 |
Very poor |
|
|
41-50 |
Poor |
|
|
51-80 |
Average |
|
|
81-90 |
Good |
|
|
91-100 |
Excellent |
|
Drinking Water Quality Index (DWQI)
The United Nations Environment Programme (UNEP) in 2007 is one of the most recent indices, which proposes a calculation structure aimed at a broader assessment of water quality (variation over time and space) in which the number of parameters that exceed a reference point (current regulations according to the use studied), the number of records that exceed this point, and the magnitude by which this reference is exceeded are evaluated for a given period, usually one year. It applies to drinking water sources and was developed in response to the need to assess the global situation of water sources.(46)
As an index developed in recent years, it includes parameters such as heavy metals related to chemical risk and whose assessment focuses on using the resource for human consumption after treatment.(46)
This selection of parameters was made according to the recommendations of the WHO guidelines for monitoring and evaluating the chemical quality of drinking water, in which the parameters are grouped into two categories: health and acceptability, which is why the DWQI is subdivided into two indices, the Human Water Quality Index (HWQI) and the Acceptance Water Quality Index (AWQI), which consider parameters related to the issue being evaluated.(45)
The process used is the same as the Canadian Council of Ministers of the Environment Water Quality Index (CCME_WQI), which was developed to simplify the reporting of water quality data. It is a tool for generating summaries of quality data that are useful for technicians, politicians, and the general public interested in this knowledge. It is not a substitute for detailed water quality analyses.(46)
This index determines three factors representing scope, frequency, and amplitude. Scope (F1) defines the percentage of variables with values outside the range of desirable levels for the evaluated use relative to the total number of variables considered. The ratio between the values outside the desirable levels and the total data for the variables studied finds frequency (F2). Amplitude is a measure of the deviation that exists in the data, determined by the magnitude of the excesses of each data point outside the range when compared to its threshold, equation 3.(46)
Equation 3: expression for calculating the Drinking Water Quality Index (DWQI).(46)

The following is used to classify water after calculating the index:
|
Table 8. Water quality classification based on the DWQI index(46) |
||
|
Index Value |
Classification |
Legend |
|
0-44 |
Poor |
|
|
45-64 |
Marginal |
|
|
65-79 |
Fair |
|
|
80-94 |
Good |
|
|
95-100 |
Excellent |
|
Simplified Water Quality Index (ISQA)
In Spain, Queralt developed the Simplified Water Quality Index (ISQA) for the river basins of Catalonia in 1982. It was based on five physical and chemical parameters and proposed a classification of water quality for six specific uses of the resource, including water supply for human consumption. The ISQA is a dimensionless number that allows for operation with very few analytical parameters while offering guaranteed results, equation 4.(47)
Equation 4: expressions for calculating the simplified water quality index (ISQA).
![]()
Where:
T is a function of the river water temperature measured in °C. Its assigned value varies between 0,8 and 1.
· If t 20°C then T = 1
· If t > 20°C then T = 1-(t-20) * 0,0125
A is a function of oxidizability and corresponds to the oxygen consumed in an oxidation with MnO4K in boiling and acidic medium, (a) expressed in mg/L (COD). It includes organic content, whether natural or not. It varies between 0 and 30.
· f a ≤ 10 then A=30 – a
· If 60 > a > 10 then A =21 – (0,35 * a)
· If a > 60 then A = 0
B is a function of suspended matter (suspended solids, SST) in mg/L that can be separated by filtration. This parameter includes organic, inorganic, industrial, and/or urban pollution. It has a significant influence on photosynthesis. It varies between 0 and 25.
· If SST 100 then B = 25 – (0,15 * SST)
· If 250 > SST > 100 then B = 17 – (0,07 * SST)
· If SST > 250 then B = 0
C is a function of dissolved oxygen (O2) in water in mg/L. Its concentration is related to oxygenability and the content of biodegradable organic matter. It varies between 0 and 25.
· C = 2,5 * dissolved O2
· If dissolved O2 is 10, then C = 25
D, is a function of electrical conductivity expressed in Us/CM (C) at 18°C. It measures the concentration of inorganic salts. If conductivity has been measured at 25°C, it must be multiplied by 0,86 to convert it to 18°C. It varies between = and 20.
· If conductivity is 4000, then
· D = (3,6 – Log c) * 15,4
· If it is > 4000, then D = 0
The range of values for this index goes from 0 for poor values to 100 for optimal values, table 9.
|
Table 9. Water quality classification based on the ISQA index(47) |
||
|
Index Value |
Classification |
Legend |
|
0-25 |
Very poor |
|
|
26-50 |
Poor |
|
|
51-70 |
Average |
|
|
71-90 |
Good |
|
|
91-100 |
Excellent |
|
Raw Water Quality Index for Public Supply Purposes (in Portuguese: Índice de Qualidade das Águas Brutas para Fins de Abastecimento Público (IAP)
This index is calculated at sampling points in rivers and reservoirs used for public water supply. It is the product of IQA (water quality index) and ISTO (index of toxic and organoleptic substances) and comprises different aggregation functions. The IQA, an adaptation of the ICA-NSF, uses an equation based on the weighted average. In the case of the ISTO, the equation uses the product of the weighting of the two most critical minimum sub-indices of the toxic substance group (ST) by the weighting obtained through the arithmetic mean of the sub-indices of the organoleptic substance group (SO).(48)
The index is composed of three main groups of variables:
· IQA – CETESB: basic variables (water temperature, pH, dissolved oxygen, biochemical oxygen demand, thermotolerant coliforms, total nitrogen, phosphorus, total residue, and turbidity).(48)
· Isto: ST variables that indicate the presence of toxic substances (trihalomethane (THM) formation potential, number of cyanobacteria, cadmium, lead, total chromium, mercury, and nickel).(48)
· Isto: SO Group of variables that affect organoleptic quality (iron, manganese, aluminum, copper, and zinc).(48)
Variables that indicate the presence of toxic substances and affect organoleptic quality are grouped in the ISTO index of toxic and organoleptic substances, which is used to determine the IAP based on the original IQA (CETESB).(48)
Quality curves are established for each parameter, assigning weights ranging from 0 to 1. The quality curves are made using two quality levels (qi) associated with the numerical values 1 and 0,5, respectively, as the lower limit (LI) and upper limit (LS). Thus, the lower limit for each of these variables was considered to be the potability standards established in Ordinance No. 888 of 2021 of the Ministry of Health, and the upper limit was supposed to be the class 3 freshwater quality standards of CONAMA Resolution No. 357 of 2005.(48)
In cases where the water quality standard was equal to the potability standard, a concentration level was adopted for the upper limit that could be removed by conventional treatment. For example, according to the WHO, chromium has a removal rate in conventional treatment varies from 0 to 30 %. Applying an average removal rate of 15 % to the lower limit, an upper limit of 0,059 mg/L is obtained. Therefore, if the measured value ≤ LI, then qi = 1; otherwise, qi = 0,5(measured value – LI)/(LS – LI).(48)
The quality variation bands (qi), which are assigned to the measured values, reflect the following quality conditions of raw water intended for public supply:
· Measured value ≤ LI: water suitable for human consumption.
· LI < Measured value ≤ LS: water ideal for conventional or advanced treatment.
· Measured value > LS: water should not be subjected to conventional treatment alone.
The following table lists the lower and upper limits adopted for the variables:
|
Table 10. Lower and upper limits according to the study variable for the ISTO index(48) |
||||
|
Group |
Variable |
Unit |
Lower limit |
Upper limit |
|
Toxic |
Cadmium |
mg/L |
0,003 |
0,01 |
|
Lead |
mg/L |
0,01 |
0,033 |
|
|
Total chromium |
mg/L |
0,05 |
0,059 |
|
|
Nickel |
mg/L |
0,02 |
0,025 |
|
|
Mercury |
mg/L |
0,001 |
0,002 |
|
|
THM |
ug/L |
373 |
461 |
|
|
Organoleptic |
Aluminum |
mg/L |
0,2 |
2 |
|
Copper |
mg/L |
2 |
8 |
|
|
Iron |
mg/L |
0,3 |
5 |
|
|
Manganese |
mg/L |
0,1 |
0,5 |
|
|
Zinc |
mg/L |
5 |
5,9 |
|
In lentic environments, an essential characteristic of water quality for public supply is the biological component (algae). With the support of regulations such as Potability Ordinance No. 518/2004 of the Ministry of Health and CONAMA Resolution No. 357/2005, quality standards were established for the number of cyanobacteria cells, and it was decided to include this variable in the ISTO. At sampling points located in lentic environments and used for public supply, the number of cyanobacteria cells is a mandatory variable for calculating the IAP; at other points, it is optional. Therefore, the normalized quality values, qi, are determined through quality curves for each ISTO variable.(48)
The weighting of the toxic substance group (ST) is obtained by multiplying the two most critical minimum values of the group of variables that indicate the presence of these substances in the water. Then, the weighting of the organoleptic substance group (SO) is obtained through the arithmetic mean of the standardized qualities of the variables belonging to this group. Subsequently, the ISTO results from the product of the groups of toxic substances and those that alter the organoleptic quality of the water. Then, the IQA is calculated using the weighted production of the water qualities corresponding to the variables that comprise the index. Finally, the IAP is calculated from the product of the old ICA and the ISTO.(48)
Equation 5: expression for calculating the ST of ISTO.(48)
ST = Min-1 (qTHMFP; qCd; qCr; qPb; qNi; qHg; QNCC) x Min-2 (qTHMFP; qCd; qCr; qPb; qNi; qHg; QNCC)
ST: toxic substance value.
qTHMFP; qCd; qCr; qPb; qNi; qHg; QNCC: normalized quality values qi for cadmium, lead, total chromium, nickel, and mercury, respectively.
Equation 6: expression for calculating the SO of the ISTO.(48)
SO = Arithmetic mean (qAl; qCu; qZn; qFe; qMn)
SO: valor de sustancias orgánicas.
qAl; qCu; qZn; qFe; qMn normalized quality values qi for cadmium, aluminum, copper, iron, manganese, and zinc, respectively.
Equation 7: expressions for calculating the water quality risk index (ISTO).(48)
ISTO = ST x SO
ISTO water quality risk index.
ST: toxic substance value.
SO: organic substance value.
Equation 8: expressions for calculating the water quality risk index (IQACETESB, Brazil).(48)
![]()
Where:
IQA: water quality index, a number between 0 and 100.
qi: quality of the i-th parameter, a number between 0 and 100, obtained from the respective average quality variation curve, depending on its concentration or measurement.
Wi: weight corresponding to the i-th parameter, a number between 0 and 1, assigned according to its importance for the overall quality.
n: number of variables included in the IQA calculation.
Equation 9: expressions for calculating the water quality risk index (IAP).(48)
IAP = IQACETESB x ISTO
IQA: Water quality index.
ISTO water quality risk index.
|
Table 11. Water quality classification based on the IAP index(48) |
||
|
Index Value |
Classification |
Legend |
|
<19 |
Terrible |
|
|
19-36 |
Bad |
|
|
36-51 |
Average |
|
|
51-79 |
Good |
|
|
79-100 |
Excellent |
|
The AMOEBA Project
The General Method for Ecological and Biological Assessment (AMOEBA) is a general ecological and biological assessment method that originated in an international cooperation project between the Central Pollution Control Board of India and the Dutch government's international cooperation program. It focuses on establishing a monitoring program for the Yamuna River in India due to the urgent need to implement adequate techniques to determine water quality.(49)
AMOEBA is a graphical representation of the description and assessment of aquatic ecosystems. This method provides an overview of a system's ecological status in relation to a reference situation and is useful for environmental policymakers and decision-makers.(49)
The assessment of the water quality of the Yamuna River was based on chemical, bacteriological, and ecological monitoring data, which were:
· Bacterial pollution index (BPI).
· Nutrient pollution index (NPI).
· Production respiration index (PRI).
· Organic pollution index (OPI).
· Benthic saprobity index (BSI).
· Biological diversity index (BDI).
· Industrial pollution index (IPI).
· Pesticide pollution index (PPI).
In this regard, it is assumed that an unmanipulated or minimally manipulated ecosystem offers the best guarantees for preserving these values, i.e., it becomes a reference system. Methods may be based on chronological comparison, in which the reference state is a period in the past when disturbances in the system were not as significant as they are today.(49)
Each of these indices is derived from variables that may vary according to regional requirements. The weight given to each variable per index is equal, as is the weight of each index relative to other indices. All individual indices are expressed on a scale of 0 to 100, where 0 indicates the worst environmental condition imaginable and 100 indicates a completely natural environment that is not influenced by humans.(49)
The target value is the desirable value of each index at which environmental protection and sustainable development are achieved. Water quality improves when the index value increases or reaches its desired value. When the target value is still visible, it indicates that environmental conditions deviate negatively from the desired conditions. If the red region is not visible, ecological conditions are equal to or better than the desirable values, and no additional protective action is necessary, table 12.(49)
|
Table 12. Desirable values for freshwater conditions according to the AMOEBA draft index(49) |
|
|
Index |
Desirable value |
|
BPI Bacterial pollution index |
90 |
|
NPI Nutrient pollution index |
70 |
|
PRI Production respiration index |
70 |
|
OPI Organic pollution index |
70 |
|
BSI Benthic saprobity index |
60-80 |
|
BDI Biological diversity index |
70 |
|
IPI Industrial pollution index |
90 |
|
PPI Pesticide pollution index |
90 |
The magnitude of the individual index and the desirable value is expressed in a variable magnitude radius that is rescaled to unify the radius of the target value of each index, equation 9.
Equation 10: expressions for calculating the water quality risk index (IAP).(49)
![]()
The AMOEBA figure is a type of radar in which the magnitude of the indices and scales are proportional to the radii. After rescaling the radius of all indices, their individual values will show whether they exceed or fall within the stipulated limits, figure 2.(49)

Figure 2. Radar for displaying the indices and target values in the AMOEBA project(49)
Subsequently, the values are represented, with the rescaled index value shown in green inside the circle and the outer edge representing the target value. When the red area of the circle is visible, this indicates that the environmental conditions deviate negatively from the desired conditions. The width of the sector between them (index-target) is related to specific aspects of contamination and provides a clue as to the corrective actions that should be taken.(49)
Bacterial pollution index (BPI)
The number of thermotolerant bacteria is assessed monthly under the Most Probable Number (MPN) by multiple fermentation tubes or the membrane filtration technique. The number found is converted to a water quality index from 0 to 100 by comparison with the quality function below, where 100 represents perfect conditions, and 0 represents unacceptable conditions for fecal bacteria loads. The suggested quality function is based on the “Best Designated Use” category.”(49)

Figure 3. AMOEBA BPI Quality Function(49)
Nutrient Pollution Index (NPI)
The nutrient pollution index is calculated from monthly measurements of the following variables: ammonium, total nitrogen, nitrites plus nitrates, total phosphorus, orthophosphates, pH, chlorophyll a, conductivity, and turbidity. Equation 8 and figures 4 to 12.
Equation 11: expressions for calculating the nutrient pollution index (NPI).(49)
![]()
Where:
PQI = quality index for the nth parameter, consisting of a dimensionless number between 0 and 100. These quality indices are derived from quality curves of the variables, which are constructed according to target values based on references.
Wn = weighting factor for the nth parameter. It must be equal to 1/n = 1/9. In case of reported or missing values, Wn must be calculated according to the number of existing variables.

Figure 4. Ammonium Quality Function(49)

Figure 5. Total Nitrogen Quality Function Keldahl(49)

Figure 6. AMOEBA Chlorophyll a Quality Function(49)

Figure 7. AMOEBA NO3 NO2 Quality Function(49)

Figure 8. Orthophosphate Quality Function(49)

Figure 9. Total Phosphorus Quality Function(49)

Figure 10. pH Quality Function(49)

Figure 11. Turbidity Quality Function(49)

Figure 12. Quality Function Conductivity(49)
Organic Pollution Index (OPI)
The index is related to oxygen availability and is calculated from the variables ammonium, BOD, COD, DO, and temperature. Ammonia is influenced by nutrient and oxygen levels (included in the OPI and NPI indices). The measured concentrations are converted into a quality index on a scale of 0 to 100 by comparison with a quality function, where 100 represents perfect conditions and 0 represents unacceptable conditions. The expression corresponds to a geometric average of the variables.(49)
Equation 12: expressions for calculating the nutrient pollution index.

OPI: Organic pollution index.
PQI Ln: Quality index for the nth parameter, which is a dimensionless number between 0 and 100.
Wn: Weighting factor for the nth parameter. All variables have a weight equal to 1/n. In the case of unrecorded values, Wn must be calculated according to the number of missing values. Note that the sum of all weighting factors must be equal to 1.
The quality functions are shown in figures 13 to 17.

Figure 13. Total Ammonium Quality Function(49)

Figure 14. BOD Quality Function(49)

Figure 15. COD Quality Function(49)

Figure 16. Quality Function Temperature(49)

Figure 17. OD Quality Function(49)
Industrial Pollution Index (IPI)
The variables to be included in the index should be regionally or locally selected from an intensive, time-limited study of industrial pollutants. In addition to the fraction dissolved in water, it may be important to include the fraction adhering to sediments and the fraction accumulated in organisms. The variables are compounds such as heavy metals, oils, PAHs, phenolic compounds, cyanides, PBs, etc., and monthly measurement is also recommended. The quality curve of the parameter used to construct the index can be constructed using ecosystem risk assessment methodology based on toxicity tests on the compound of interest, equation 13.(49)
Equation 13: expressions for calculating the industrial pollution index (IPI) – AMOEBA Project. (49)
![]()
The following table shows the safe concentrations of contaminants in the Low Countries:
|
Table 13. Safe concentrations in water and sediment for variables of the industrial pollution index IPI – AMOEBA Project(49) |
||
|
Compound or group name |
Safe concentrations in water (ug/L) |
Concentrations in sediment (mg/kg dw) |
|
Cadmium |
0,16 |
14 |
|
Zinc |
1,6 |
120 |
|
Nickel |
1,4 |
7,4 |
|
Lead |
2 |
860 |
|
Mercury |
0,01 |
1,1 |
|
Chromium |
2 |
270 |
|
Copper |
1,7 |
60 |
|
Arsenic |
8,6 |
56 |
|
PCP |
2 |
0,2 |
|
PAH |
0,1 |
2 |
|
PCB (Aroclor 1248) |
0,1 |
0,1 |
|
Oils and fats |
50 |
? |
|
Cyanides |
50 |
12 |
|
Phenolic compounds |
5 |
10 |
Tables 13 and 14 show the quality functions for chromium in water and sediment:

Figure 18. AMOEBA IPI Quality Function - Chromium in dissolved fraction(49)

Figure 19. AMOEBA IPI Quality Function - Chromium in sediments(49)
Pesticide Pollution Index (PPI)
The mathematical expression and abbreviations are the same as those used in the nutrient pollution index, and their weighting is adjusted according to the number of variables. The variables included in the index are selected locally or regionally based on measurements of industrial or agricultural pollutants, such as organochlorines and phosphates, whose fractions are determined in water, sediments, and organisms. Monthly assessments are also recommended,(49) and the Dutch concentrations for pesticides in water and sediment can be used as a reference (table 14).
|
Table 14. Safe concentrations in water and sediment for compounds in the pesticide pollution index (PPI) – AMOEBA Project(49) |
||
|
Compound or group name |
Safe concentrations in water (ng/L) |
Concentrations in sediment (mg/kg dw) |
|
HCH |
500 |
150 |
|
DDT + derivatives |
100 |
100 |
|
Organophosphorus pesticides (Parathion) |
5 |
5 |
|
Dieldrin |
50 |
40 |
|
TBTO |
10 |
10 |
|
Aldrin |
50 |
40 |
|
Endosulfan |
10 |
10 |

Figure 20. HCH Quality Function Dissolved Fraction(49)

Figure 21. HCH quality function in sediments(49)
The recommended target value is 90. Its high value is due to the difficulty of estimating the degree of action of the toxin with certainty.
Saprobity Index (The Benthic Saprobity Index BSI)
This index can be assessed using the method developed by The Biological Monitoring Working Party (BMWP). This method involves a qualitative inventory of the local presence of benthic invertebrates at the family level. All families are classified on a scale of 1 to 10 based on their probity reference (oxygen availability) of water quality. Class 1's families are mainly found in water bodies with marked oxygen deficiency, while class 10 represents organisms restricted to water bodies with high oxygen levels. This determination is made with the help of graphic taxonomic keys. The difficulty lies in the correct identification of the organism.(49)
It is customary to take microhabitat samples in a section of the river, add them, and average the final score according to the families found in that section by multiplying them by a factor of 10, which provides a scale of 100.(49)
It is interesting to note that, under immaculate conditions, lowland rivers do not consistently achieve high scores, such as 8 to 19, which is continuously found in highland rivers. To avoid what is known as "the Belgian syndrome," the AMOEBA project established regionalized values: highland rivers, around 80, and lowland rivers, around 60.(49)
Biological Diversity Index (BDI)
The BDI can be evaluated for the same period as the previous index and quantified according to Cairns' sequential comparison methodology, which does not require taxonomic tools, only simple observation. A new sample is started when an animal differs from the one observed in the last sample. If no differences are found, sampling is stopped.(49)
Equation 14: expressions for calculating diversity in the biological diversity index (BDI) – AMOEBA Project.(49)
![]()
Production-Respiration Index (PRI)
This index is calculated using the production-respiration range described by Odum and adopted by the American Public Health Association.
Primary production has been estimated by measuring dissolved oxygen (DO) over a 24-hour period using the following formula:
Equation 15: expressions for calculating OD according to Odum for the production-respiration index (PRI) – AMOEBA Project.(49)
OD = Production – Breathing + Diffusion
The diurnal production curve can be estimated if the DO delta, diffusion per unit area, and time are known. The reduction in DO during the night is attributed to respiration, while the increase in DO during the day results from primary production and the respiration rate. Assuming that the respiration rate is the same during the day and night, the daytime production rate can be calculated. Positive (inflow) or negative (outflow) diffusion rates are estimated based on the average temperature and depth of the river. To estimate respiration and production per unit area, it is necessary to know the flow rate or discharge of the river.(49)
The P/R ratio resembles a bell curve, which is close to zero at the lower end, indicating saprobic conditions; from 3 to 4, conditions are extremely eutrophic, and a value of 1 implies an ecosystem in balance. This ratio can be converted into a production-respiration index by comparing the following quality function, which is analogous to the method applied to the bacterial pollution index (BPI). Values around 70 indicate stable ecosystems.(49)

Figure 22. P/R Quality Function(49)
Universal Water Quality Index (UWQI)
The UWQI methodology was developed and applied in order to obtain a simpler index for describing the quality of surface water used for drinking water supply, consisting of 11 physical-chemical parameters and one microbiological parameter. The calculation is based on European Union directives for water intended for human consumption after treatment, in order to facilitate its use in the different countries that make up the EU.(50)
It is calculated using an additive or weighted sum equation that is less sensitive to extreme variations in water quality, conditions that limit its use in assessing water quality in surface sources subject to sudden and extreme changes in their physical, chemical, and microbiological characteristics, equation 13.(50)
Equation 16: expressions for calculating the UWQI.(50)
UWQI=∑i=1n Wili
Where:
Wi is the weight or percentage assigned to the ith parameter
li is the subscript of the ith parameter.
The assignment of weights to the quality variables was based on the following factors: chemical parameters were given a lower weight than microbiological parameters (because microbial contaminants belong to the category with the greatest impact on health) and a high weight was given to those parameters known to be of concern for health. The temporal weights range from 1 to 4 on a basic or average scale, from high to very high importance. Subsequently, each weight was divided by the sum of all weights to arrive at the final weight factor, table 15.(50)
|
Table 15. Weights weighted according to the quality parameter for the UWQI(50) |
|||
|
Category |
Variable |
Classification |
Weight factor |
|
Health hazard |
Total coliforms |
4 |
0,114 |
|
Cadmium |
3 |
0,086 |
|
|
Cyanide |
3 |
0,086 |
|
|
Mercury |
3 |
0,086 |
|
|
Selenium |
3 |
0,086 |
|
|
Arsenic |
4 |
0,113 |
|
|
Fluoride |
3 |
0,086 |
|
|
Nitrate-nitrogen |
3 |
0,086 |
|
|
Operational monitoring
|
OD |
4 |
0,114 |
|
pH |
1 |
0,029 |
|
|
Oxygen depletion |
BOD |
2 |
0,057 |
|
Total phosphorus |
2 |
0,057 |
|
The Index categorization scheme is presented below:
|
Table 16. Water quality classification based on the UWQI index(50) |
||
|
UWQI range |
Classification |
Color |
|
0 – 24 |
Poor |
|
|
25 - 49 |
Marginal |
|
|
50 - 74 |
Fair |
|
|
75 - 94 |
Good |
|
|
95 - 100 |
Excellent |
|
Quality Index for the Cauca River (ICAUCA)
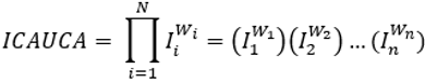
Various studies have been conducted at the regional and national levels to develop or adapt ICA in accordance with the environmental characteristics of certain surface sources. Rojas adapted the ICA-NSF to the specific conditions of the Cauca River, reducing the number of parameters that comprise it based on an analysis of their behavior over time and space and modifying the percentage weights assigned to each parameter according to its level of importance in the assessment of the Cauca River's water quality.(51)
In the case of the Cauca River, an ICA was defined based on the conditions and dynamics present in the territory, making it more accurate for the study of the water quality of this water body, determining as variables dissolved oxygen, fecal coliforms, turbidity, BOD5, total suspended solids, color, total solids, pH, total phosphorus, and total nitrogen.(51)
Equation 17: expressions for calculating the quality index for the Cauca River (ICAUCA).(50)

i: corresponds to each of the selected quality parameters (OD, BOD5, ST, pH, etc.)
Ii is a special function defined so that variable i transforms the actual value into a standardized quality number. It corresponds to the parameter subscript (between 0 and 100).
Wi corresponds to the weight or percentage assigned to each parameter i.
Equations of the subscript and weighting according to each parameter for the ICAUCA water quality index are shown in table 17.
|
Table 17. Subindex equations and weighting according to each parameter for the ICAUCA(51) |
||
|
Weighting (W) |
Subscript equation |
|
|
Biochemical oxygen demand (BOD5) |
0,15 |
IDBO5=e(4,5824-0,1078 DBO5 +2,4581*10^-14 eDBO5) DBO5> 30 mg/L, IDBO5 = 2 |
|
Percentage of dissolved oxygen (%Sat) |
0,21 |
I%sat=ⅇ(1,3663+0,063 %sat-0,000303 %sat^2) Si %Sat >140, I%Sat=50 |
|
Turbidity (Turb) |
0,08 |
ITurb=e(4,561-0,0196 Turb +2,4167*10^-5 Turb^2) Si Turb > 100 UNT, ITurb = 5 |
|
Total solids (TS) |
0,07 |
IST=1/(0,0123-1,3545*10-5 ST+9,265*10-8 ST2) Si ST > 500 mg/L, IST = 20 |
|
pH |
0,08 |
IpH=e(-7,6434pH+18,5352 1/pH +14,625(Ln(pH))^2)) Si pH<2 o pH>12 und IpH=0 |
|
Total coliforms (TC) |
0,15 |
ICT=e(4,5685-0,1305 Ln(CT)-0,0129〖(Ln(CT))^2)) Si CT > 105/100 ml, ICT=2 |
|
Total nitrogen (TN) |
0,08 |
IN=e(4,4706-0,043 NT+2,8813*10^(-5)NT^2) Si NT > 100 mg/L, INT=1 |
|
Total phosphorus (TP) |
0,08 |
IFT=1/(0,0084+0,0143 PT+0,00074〖PT2) Si PT > 10 mg/L, IPT = 2 |
|
Color |
0,05 |
Icolor=127color-0,2394 |
|
Total suspended solids (TSS) |
0,05 |
ISST=-0,3005 SST+102,11 Si SST ≤ 10 mg/L, ISST =100 Si SST ≤ 340 mg/L, ISST =2 |
The values of the different variables monitored allow the water quality to be classified according to table 18.
|
Table 18. Water quality classification based on the ICAUCA index(51) |
||
|
ICAUCA rank |
Classification |
Color |
|
0 - 20 |
Terrible |
|
|
20 - 35 |
Inadequate |
|
|
35 - 50 |
Acceptable |
|
|
50 - 80 |
Good |
|
|
80 - 100 |
Excellent |
|
Emerging contaminants (EC)
Chemical compounds of different origins and natures whose presence in the environment is not considered significant in distribution and/or concentration have gone unnoticed for decades. Thanks to advances in detection techniques, they are now being detected. Over time, they accumulate to detectable concentrations and perceptible effects, which have an adverse impact on the environment and human health.(52,53,54)
These compounds can be found in surface water and groundwater for human consumption. They can enter water bodies through soil washing by runoff or infiltration of chemicals used in agricultural activities (fertilizers and pesticides)(55,56,57) or through discharges from livestock activities (medicines and pathogens), industrial activities (surfactants, solvents, fats and oils, plasticizers, heavy metals, and industrial additives), wastewater treatment plants and landfills (complex organic and inorganic compounds),(58,59,60) hospital health services (disinfectants, antibiotics, analgesics, antihypertensives, and steroid hormones), domestic and septic tanks that leak and may contain (the medications above, personal care products, pathogens, fats and oils, detergents, solvents, disinfectants, illicit drugs, steroid hormones, caffeine, and nicotine).(52)
These compounds can be carcinogenic (induce or increase the incidence of cancer), mutagenic (increase the frequency of mutation in cells),(61,62,63) teratogenic (substances that can cause alterations in the fetus during its development), or act by altering the endocrine system of organisms (altering hormonal homeostasis, which is essential for maintaining vital functions such as growth, reproduction, and behavior).(52)
On the other hand, viruses are highly prevalent in the environment and, therefore, have a significant impact on public health and considerable economic losses, mainly through the transmission of viruses through water and food by species of Adenovirus, Poliovirus, Parchhovirus, Norwalk Virus, Sapporo virus, Hepatitis E Virus, Rotavirus, and Astroviral.(53)
In this regard, the identification of human viruses as potential indicators of contamination has also been proposed, with hepatitis E virus showing a high prevalence in geographical areas that were considered free of endemic strains (sporadic clinical cases and animal reservoirs are present).(64,65,66) Polyomavirus has been detected in virtually 100 % of water samples related to virus ingestion and/or viral genomes with oncogenic potential. However, controlling emerging viral contamination in the environment requires the standardization of molecular techniques and developing a surveillance system that allows viral parameters to be assessed.(53)
CONCEPTUAL FRAMEWORK
The current water quality index is under discussion due to the type of variables it measures, the ranges or maximum values, and the risk weighting.(67,68) About the variables it measures, it has been found that the microbiological and chemical variables to be analyzed should be expanded, given the growing number of cases of water-related biological diseases and the proliferation of a wide variety of chemical substances of inorganic or organic origin developed and used in different areas, the effects of which on health are unknown.(54)
ECs correspond to unregulated contaminants that should be considered in future regulation, which depends on research into their potential effects on health, ecosystems, and incidence. However, incidence, risk contribution, and eco-toxicological data for most of these emerging pollutants are unavailable.(69,70) Where EC accumulation in the environment, transformation rates, and removal are exceeded by continuous introduction, more specific monitoring is necessary to ensure water quality.(52)
In this sense, the work is aligned with the need to consider ECs as variables to be taken into account as part of the water quality index since the accumulation and continuous replenishment of ECs, as well as the ecological and human health risks, warrant monitoring, and with the consideration of those substances that are likely to be found in rural areas where water is usually collected for drinking purposes.
LEGAL FRAMEWORK
The following is a list and explanation of the legal regulations currently applicable to the project's development.
|
Table 19. Regulatory framework related to the water quality risk index |
||
|
Regulation |
Scope of regulation |
Applicability in thesis work |
|
Resolution 330 of June 8, 2017 |
Adopts the Technical Regulations for the Drinking Water and Basic Sanitation Sector (RAS) |
Establishes IRCA as the criterion for determining present and future risks to the micro-watershed supply |
|
Resolution 4716 of November 18, 2010 |
Establishes the minimum conditions, resources, and obligations that must be met by departmental, district, and special category 1, 2, and 3 municipal health authorities and the competent environmental authority in order to prepare risk maps for the quality of water for human consumption |
Frequency and number of samples for monitoring and controlling the physical, chemical, and microbiological characteristics of the risk map for water quality for human consumption |
|
Resolution 2115 of June 22, 2007 |
Specifies the characteristics, basic instruments, and frequencies of the control and monitoring system for water quality for human consumption |
Establishes the physical, chemical, and microbiological characteristics to be monitored in water for human consumption |
|
Decree 1575 of May 9, 2007 |
Establishes the System for the Protection and Control of Water Quality for Human Consumption |
Establishes IRCA as a basic instrument for ensuring the quality of water for human consumption The selection of potentially toxic substances will be based on information from third parties responsible for and affected by the presence of these toxins in the water and the pollutants generated by productive activities in the region that may be present in the source supplying the water supply system. |
CONCLUSIONS
Water quality is fundamental to public health, environmental sustainability, and socioeconomic development. In Colombia, the current legal framework, represented by regulations such as Resolution 2115 of 2007 and Decree 1575 of the same year, has established minimum parameters for monitoring and controlling water's physical, chemical, and microbiological characteristics for human consumption. However, the growing complexity of the factors affecting water quality highlights the need to strengthen and update traditional assessment methods.
In this context, water quality indices (WQIs) have been a key tool for synthesizing technical information into understandable and practical indicators for decision-making. The IRCA, WQINSF, DWQI, and UWQI, among others, have contributed to standardizing resource monitoring and guiding public policy. However, these indices face significant limitations: their predominant focus on conventional parameters overlooks compounds whose presence and effects have recently been recognized, known as emerging contaminants (ECs).
These ECs, such as pharmaceuticals, pesticides, personal care products, hormones, microplastics, and emerging viruses, have been shown to have significant implications for human health and aquatic ecosystems despite not yet being regulated. Their increasing detection, thanks to analytical advances, highlights a gap between the current reality of water resources and traditional assessment methods. It is, therefore, urgent to integrate these contaminants into monitoring schemes and WCIs, using methodologies such as those proposed in the AMOEBA index or adaptations of existing WCIs to local realities, such as the ICAUCA.
Adaptation and innovation in water quality assessment require a comprehensive and dynamic approach that combines traditional parameters with new variables, considers regional particularities, and promotes constant monitoring. In addition, social perception, information accessibility, and the practical usefulness of the indices for different actors, from authorities to communities, must be taken into account.
In conclusion, the challenge lies not only in improving water quality measurement but also in moving toward more preventive, adaptive, and inclusive management that guarantees access to safe water for all populations, predominantly rural and vulnerable ones. This management ensures the long-term conservation of aquatic ecosystems.
BIBLIOGRAPHIC REFERENCES
1. Suárez S, Molina E. El desarrollo industrial y su impacto en el medio ambiente. Rev Cubana Hig Epidemiol. 2014;52(3):357-63.
2. Arias J. Contaminación de suelos y aguas por hidrocarburos en Colombia. Análisis de la fitorremediación como estrategia biotecnológica de recuperación. Rev Investig Agrar Ambient. 2017;8(1):151-67.
3. Ahmed M, Matsumoto M, Ozaki A, Thinh NV, Kurosawa K. Heavy metal contamination of irrigation water, soil, and vegetables and the difference between dry and wet seasons near a multi-industry zone. Water. 2019;11(3):583. https://doi.org/10.3390/w11030583
4. Manoj S, Thirumurugan M, Elango L. An integrated approach for assessment of groundwater quality in and around uranium mineralized zone, Gogi region, Karnataka, India. Arab J Geosci. 2017;10(24):557. https://doi.org/10.1007/s12517-017-3321-5
5. Jawad M, Arslan M, Siddique M, Ali S, Tahseen R, Afzal M. Potentialities of floating wetlands for the treatment of polluted water of river Ravi, Pakistan. Ecol Eng. 2019;133:167-76. https://doi.org/10.1016/j.ecoleng.2019.04.022
6. Bhuiyan A, Dampare B, Islam A, Suzuki S. Source apportionment and pollution evaluation of heavy metals in water and sediments of Buriganga River, Bangladesh, using multivariate analysis and pollution evaluation indices. Environ Monit Assess. 2015;187(4075):1-21. https://doi.org/10.1007/s10661-014-4075-0
7. Zhang J, Li H, Zhou Y, Dou L, Cai L. Bioavailability and soil-to-crop transfer of heavy metals in farmland soils: a case study in the Pearl River Delta, South China. Environ Pollut. 2018;235:710-9. https://doi.org/10.1016/j.envpol.2017.12.106
8. Sabogal L. El riesgo sanitario y la eficiencia de los sistemas de tratamiento en la selección de tecnologías para la potabilización del agua. Cali: Universidad del Valle; 2000.
9. Rojas R. Guía para la vigilancia y control de la calidad del agua para consumo humano. 2002.
10. Centro Panamericano de Ingeniería Sanitaria y Ciencias del Ambiente (CEPIS). Sección 2. Evaluación y manejo del riesgo. En: Manual de evaluación y manejo de sustancias tóxicas en aguas superficiales. 2001. p. 46.
11. Guerra C. Ponderación de los riesgos de origen microbiano y químico en la desinfección del agua potable: la perspectiva panamericana. Bol Oficina Sanit Panam. 1993;115:451-4.
12. World Health Organization (WHO). Conquering suffering, enriching humanity. The world health report 1997. Geneva: WHO Graphics; 1997. p. 157.
13. Instituto de Hidrología, Meteorología y Estudios Ambientales (IDEAM). El medio ambiente en Colombia. Bogotá: IDEAM; 2001.
14. Fernández N, Solano F. Índices de calidad y contaminación del agua. Pamplona: Universidad de Pamplona; 2008.
15. González T, Osorio I, Riascos A. Evaluación del proceso de reporte del IRCA a las plataformas SUI y SIVICAP web desde el marco del INCA en los años 2016-2019, caso de estudio: Magdalena, zona bananera. Encuentro Int Educ Ing. 2019.
16. Ministerio de Salud y Protección Social. Informe nacional de calidad del agua para consumo humano. 2021 [citado 2023 mar 31]. Disponible en: https://www.minvivienda.gov.co/sites/default/files/documentos/informe-nacional-de-calidad-del-agua-para-consumo-humano-inca-2021.pdf
17. Instituto Nacional de Salud. Estado de la vigilancia de la calidad del agua para consumo humano en Colombia. 2019 [citado 2023 mar 31]. Disponible en: https://www.ins.gov.co/BibliotecaDigital/estado-de-la-vigilancia-de-la-calidad-del-agua-para-consumo-humano-en-colombia-2019.pdf
18. Carrasco D, Delgado Y, Cobos F. Contaminantes emergentes y su impacto en la salud. Emerging contaminants and its impact on the health. Rev Fac Cienc Méd Univ Cuenca. 2017;35(2):55-9.
19. González T, Osorio I, Riascos A. Evaluación del proceso de reporte del IRCA a las plataformas SUI y SIVICAP web desde el marco del INCA en los años 2016-2019, caso de estudio: Magdalena, zona bananera. Encuentro Int Educ Ing. 2019.
20. García C, García J, Rodríguez J, Pacheco R, García M. Limitaciones del IRCA como estimador de calidad del agua para consumo humano. Rev Salud Pública. 2018;20:204-7.
21. Cruz A, Rodriguez L. Análisis de los índices de riesgo de calidad de agua potable (IRCA) en Boyacá entre 2016-2019. Agricolae Habitat. 2021;4(1).
22. Romero J, Ibarra N. Valoración del índice de calidad del agua cruda (ICA), del índice de riesgo de la calidad del agua para consumo humano (IRCA), del índice de tratamiento (IT), del índice de continuidad (IC) y del índice de riesgo municipal por abastecimiento de agua para consumo humano por prestador (IRABAPP), para el periodo 2010-2011, de sistemas de tratamiento de agua potable. Rev Esc Colomb Ing. 2013;23(92):13-22.
23. Briñez K, Guarnizo C, Arias A. Calidad del agua para consumo humano en el departamento del Tolima. Rev Fac Nac Salud Pública. 2012;30(2):175-82.
24. Enríquez C, Torres A, Enciso F. Comportamiento del índice de riesgo de la calidad del agua para consumo humano y demanda de agua en el acueducto Yamboró, Pitalito - Huila. Rev Investig Agroempresariales. 2020;7.
25. Torres M, de Navia L. Calidad físico-química y microbiológica del agua del municipio de Bojacá, Cundinamarca. Nova. 2010;8(14).
26. Candelario M, Pinto L. Evaluación del agua para consumo humano utilizando el índice de riesgo de la calidad del agua en el municipio de Puerto Nariño (Amazonas). Agricolae Habitat. 2023;6(2):27-40.
27. González L. Evaluación del índice de riesgo de calidad de agua (IRCA) para la mejora de las condiciones de calidad del sistema de potabilización del acueducto de la vereda Quiche del municipio de Chiquinquirá–Boyacá. 2020.
28. Doncel J, Florex C. QIRCA: complemento de QGIS para calcular índices de riesgo de la calidad del agua para consumo humano-IRCA. 2018.
29. Torres F, Carvajal A. Cobertura de acueducto y alcantarillado, calidad del agua y mortalidad infantil en Colombia, 2000-2012 (No. 012228). Bogotá: Universidad de los Andes, Facultad de Economía, CEDE; 2014.
30. Jiménez L, Ramos J, Guio P. Análisis del índice de riesgo de la calidad del agua para consumo humano-IRCA y su relación con variables meteorológicas y ubicación geográfica para el departamento del Tolima en los años 2012–2013. Publicaciones Investig. 2016;10:69-81.
31. Jiménez C. Contaminantes orgánicos emergentes en el ambiente: productos farmacéuticos. Rev Lasallista Investig. 2011;8(2):143-53.
32. Jank L, Hoff R, Costa F, Pizzolato T. Simultaneous determination of eight antibiotics from distinct classes in surface and wastewater samples by solid-phase extraction and high-performance liquid chromatography electrospray ionisation mass spectrometry. Int J Environ Anal Chem. 2014;94(10):1013–37.
33. Spongberg A, Witter J, Acuña J, Vargas J, Murillo M, Umaña G, et al. Reconnaissance of selected PPCP compounds in Costa Rica surface waters. Water Res. 2011;45(20):6709–17.
34. Estrada E, Cortés J, González A, Calderón C, de Rivera M, Ramírez E, et al. Assessment of full-scale biological nutrient removal systems upgraded with physico-chemical processes for the removal of emerging pollutants present in wastewaters from Mexico. Sci Total Environ. 2016;571:1172–82.
35. Bujanow D, Pérez V, Gavilán J, Luis J. Estudio sobre la presencia y distribución de contaminantes emergentes en los acuíferos detríticos del río Guadalhorce. En: Unidos por el agua. Huelva: Club del Agua Subterránea; 2018. p. 701–8.
36. Vadillo I, Jiménez P, Aranda J, Denguir F, Luque J, Benavente J. Presencia y distribución de contaminantes emergentes en cuatro cuencas antropizadas del sur de la Península Ibérica. 2018.
37. Meléndez J, García Y, Galván V, de León LD, Vargas K, Mejía J, Ramírez RF. Contaminantes emergentes. Problemática ambiental asociada al uso de antibióticos. Nuevas técnicas de detección, remediación y perspectivas de legislación en América Latina. Rev Salud Ambient. 2020;20(1):53–61.
38. Martínez I, Soto J, Lahora A. Antibióticos como contaminantes emergentes. Riesgo ecotoxicológico y control en aguas residuales y depuradas. Ecosistemas. 2020;29(3):2070.
39. Ramírez L, Chicaiza S, Ramos A, Álvarez C. Detección de antibióticos betalactámicos, tetraciclinas y sulfamidas como contaminantes emergentes en los ríos San Pedro y Pita del cantón Rumiñahui. LA GRANJA Rev Cienc Vida. 2019;30(2):88–102.
40. Taborda D, Venegas W. Elaboración del mapa de riesgos de calidad del agua para consumo humano de la quebrada La Hoya en el municipio de Zipaquirá, Cundinamarca [trabajo de grado]. 2016.
41. Ministerio de Salud y Protección Social. Programa nacional de prevención, manejo y control de la infección respiratoria aguda y la enfermedad diarreica aguda. 2023 [citado 2023 mar 31]. Disponible en: https://www.minsalud.gov.co/sites/rid/Lists/BibliotecaDigital/RIDE/VS/PP/ET/programa-nacional-ira-eda-2023.pdf
42. Universidad de Pamplona. Capítulo II. Indicadores de calidad del agua. Generalidades. [s.f.] [citado 2023 mar 31]. Disponible en: https://www.unipamplona.edu.co/unipamplona/portalIG/home_10/recursos/general/pag_contenido/libros/06082010/icatest_capitulo2.pdf
43. Ministerio de Ambiente y Desarrollo Sostenible. 2007.
44. Sutadian A, Muttil N, Yilmaz A, Perera J. Development of river water quality indices—a review. Environ Monit Assess. 2016;188:1–29.
45. Ardila N, Arriola E. Efecto de la quema de llantas en la calidad del agua de un tramo de la quebrada Piedras Blancas. Tecnol Cienc Agua. 2017;8(5):39–55.
46. Balmaseda C, García Y. Índice canadiense de calidad de las aguas para la cuenca del río Naranjo, provincia Las Tunas, Cuba. Rev Cienc Téc Agropecu. 2014;23(3):11–6.
47. de Bustamante J, Sanz J, Goy J. Estudio de la calidad de las aguas superficiales en los espacios naturales del sur de las provincias de Salamanca y Ávila. Aplicaciones del índice ISQA. 2002 [citado 2023 mar 31]. Disponible en: https://sge.usal.es/archivos/geogacetas/Geo31/Art26.pdf
48. Companhia Ambiental do Estado de São Paulo (CETESB). Apêndice E. Índices de qualidade das águas, critérios de avaliação da qualidade dos sedimentos e indicador de controle de fontes. 2021 [citado 2023 mar 31]. Disponible en: https://cetesb.sp.gov.br/aguas-interiores/wp-content/uploads/sites/12/2022/11/Apendice-E-Indices-de-Qualidade-das-Aguas.pdf
49. Fernández S. Índices de calidad (ICAs) y de contaminación (ICOs) del agua de importancia mundial. Capítulo III. Pamplona: Universidad de Pamplona; 2005.
50. Boyacioglu H. Development of a water quality index based on a European classification scheme. Water SA. 2007;33(1):101–6.
51. Corporación Autónoma Regional del Valle del Cauca, Dirección Técnica Ambiental. Objetivos de calidad del río Cauca – tramo Valle del Cauca. Documento técnico de soporte. 2023 [citado 2023 mar 31]. Disponible en: https://www.cvc.gov.co/sites/default/files/2023-06/Res.%200298%20de%202023-%20Objetivos%20de%20calidad%20del%20r%C3%ADo%20Cuaca%20-%20Tramo%20Valle%20del%20Cauca.pdf
52. Pachés A. Contaminantes emergentes. Valencia: Universidad Politécnica de Valencia; 2020.
53. Bofill S, Clemente P, Albiñana N, Maluquer C, Hundesa A, Girones R. Efectos sobre la salud de la contaminación de agua y alimentos por virus emergentes humanos. Rev Esp Salud Pública. 2005;79:253–69.
54. Becerril J. Optimización de metodologías analíticas para la determinación de contaminantes emergentes en aguas de abastecimiento y residuales [tesis]. 2012.
55. Gómez O. Enfermedad diarreica aguda por Escherichia coli enteropatógenas en Colombia. Rev Chil Infectol. 2014;31(5):577–86.
56. Chaves D, Fernández J, Ospina I, López M, Moncada L, Reyes P. Tendencia de la prevalencia y factores asociados a la infección por Giardia duodenalis en escolares y preescolares de una zona rural de Cundinamarca. Biomédica. 2007;27(3):345–51.
57. Ekici A, Yilmaz H, Beyhan YE. Prevalencia de la criptosporidiosis en seres humanos y terneros, y detección molecular del Cryptosporidium parvum. Rev MVZ Córdoba. 2022;27(2):1–9.
58. Pérez E. Control de calidad en aguas para consumo humano en la región occidental de Costa Rica. Rev Tecnol Marcha. 2016;29(3):3–14.
59. Bolaños J, Cordero G, Segura G. Determinación de nitritos, nitratos, sulfatos y fosfatos en agua potable como indicadores de contaminación ocasionada por el hombre, en dos cantones de Alajuela (Costa Rica). Rev Tecnol Marcha. 2017;30(4):15–27.
60. Pabón S, Benítez R, Sarria R, Gallo J. Contaminación del agua por metales pesados, métodos de análisis y tecnologías de remoción. Una revisión. Entre Cienc Ing. 2020;14(27):9–18.
61. Jiménez A, Santa L, Otazua M, Ayerdi M, Galarza A, Gallastegi M, et al. Ingesta de flúor a través del consumo de agua de abastecimiento público en la cohorte INMA-Gipuzkoa. Gac Sanit. 2018;32(5):418–24.
62. Menéndez C, Dueñas J. Los procesos biológicos de tratamiento de aguas residuales desde una visión no convencional. Ing Hidrául Amb. 2018;39(3):97–107.
63. Instituto Nacional de Salud. Informe técnico de vigilancia por laboratorio de Cryptosporidium spp. y Giardia spp. en aguas. 2019 [citado 2023 mar 31]. Disponible en: https://www.ins.gov.co/buscador-eventos/Informacin%20de%20laboratorio/Informe-t%C3%A9cnico-de-vigilancia-por-laboratorio-de-Cryptosporidium-spp-y-Giardia-spp-en-aguas.pdf
64. López L, Sánchez M, Baena M, González M, Urhán J. Verificación del método para la detección y cuantificación de Clostridium perfringens en agua potable mediante filtración por membrana. Rev Politéc. 2016;12(23):83–9.
65. Ramírez L, Londoño A. Estado del arte de la Legionella pneumophila en aguas termales. Encuentro Int Educ Ing. 2020.
66. Avendaño A, Arguedas C. Microcistina en plantas de tratamiento de agua para consumo humano en un ambiente tropical: el Área Metropolitana de Costa Rica. Rev Biol Trop. 2006;54(3):711–6.
67. Jiménez L, Barquero M, Jiménez K, Álvarez CV, Alvarado DM, Lizano LR, Achí R. Relación entre la presencia de colifagos en agua para consumo humano, las lluvias y las diarreas agudas en Costa Rica. Rev Costarric Salud Pública. 2015;24(2):160–7.
68. Ministerio de Salud y Protección Social. Informe nacional de calidad del agua para consumo humano INCA 2022. 2022 [citado 2023 mar 31]. Disponible en: https://www.ins.gov.co/BibliotecaDigital/informe-nacional-de-calidad-del-agua-para-consumo-humano-colombia-2022.pdf
69. CymitQuímica. Números CAS. 2023 [citado 2023 mar 31]. Disponible en: https://cymitquimica.com/es/cas/
70. Instituto Colombiano Agropecuario (ICA). Registros nacionales de plaguicidas y reguladores fisiológicos. 2023 [citado 2023 mar 31]. Disponible en: https://www.ica.gov.co/areas/agricola/servicios/agricultura-ecologica-1/documentos/publicacion-bd_rn-rf_-31-mar-2022-1.aspx
FINANCING
None.
CONFLICT OF INTEREST
The authors declare that there is no conflict of interest.
AUTHORSHIP CONTRIBUTION
Conceptualization: José Luis Guataquira Rincón; René Ricardo Cuéllar Rodríguez.
Data curation: José Luis Guataquira Rincón; René Ricardo Cuéllar Rodríguez.
Formal analysis: José Luis Guataquira Rincón; René Ricardo Cuéllar Rodríguez.
Research: José Luis Guataquira Rincón; René Ricardo Cuéllar Rodríguez.
Methodology: José Luis Guataquira Rincón; René Ricardo Cuéllar Rodríguez.
Project management: José Luis Guataquira Rincón; René Ricardo Cuéllar Rodríguez.
Resources: José Luis Guataquira Rincón; René Ricardo Cuéllar Rodríguez.
Software: José Luis Guataquira Rincón; René Ricardo Cuéllar Rodríguez.
Supervision: José Luis Guataquira Rincón; René Ricardo Cuéllar Rodríguez.
Validation: José Luis Guataquira Rincón; René Ricardo Cuéllar Rodríguez.
Visualization: José Luis Guataquira Rincón; René Ricardo Cuéllar Rodríguez.
Writing – original draft: José Luis Guataquira Rincón; René Ricardo Cuéllar Rodríguez.
Writing – review and editing: José Luis Guataquira Rincón; René Ricardo Cuéllar Rodríguez.